2022上海高考分数线出炉!快来看看你家孩子在哪个分数段!
2022年上海市普通高等学校秋季招生本科各批次录取控制分数线经审定公布如下:
(注:本市高考本科成绩满分为660分)
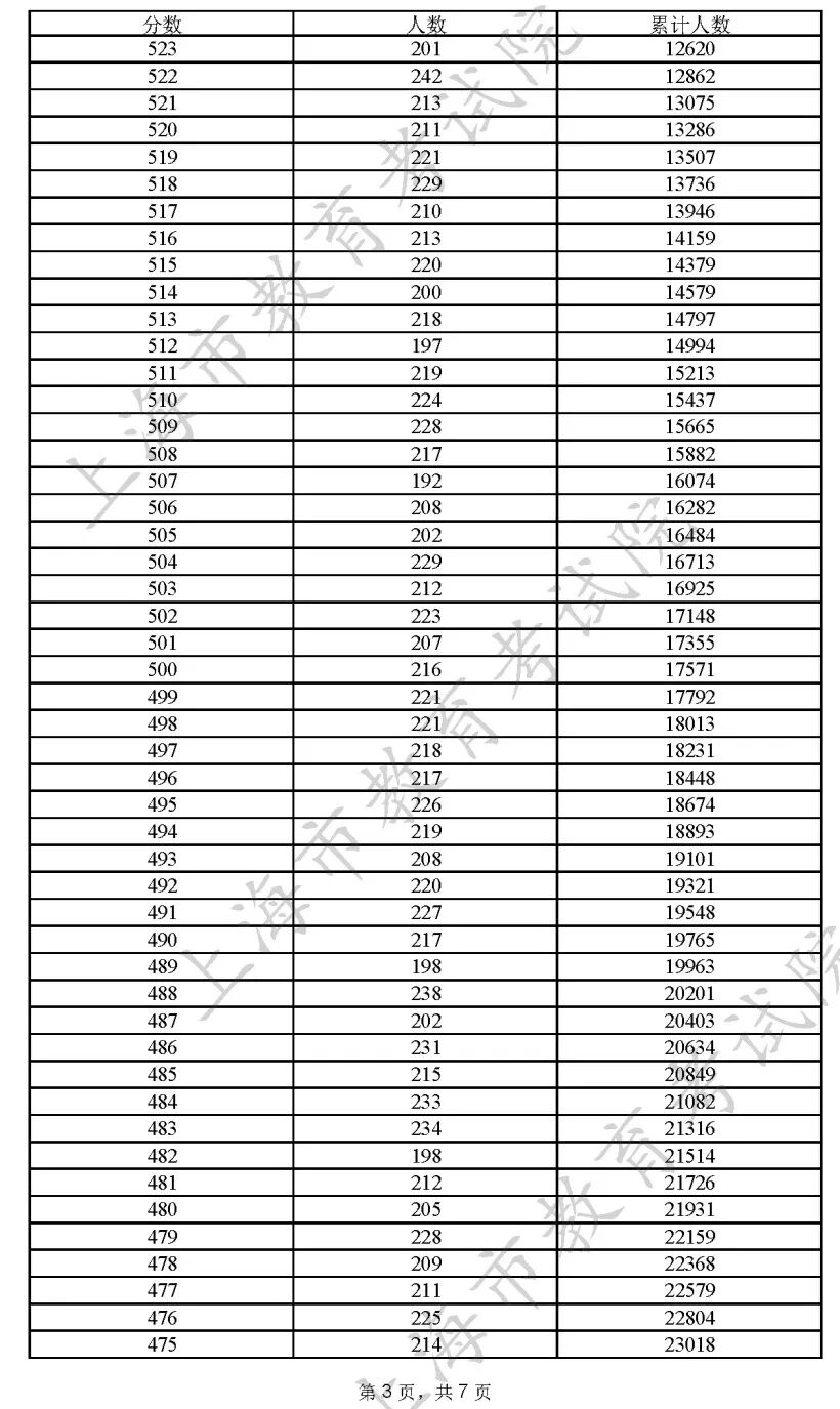
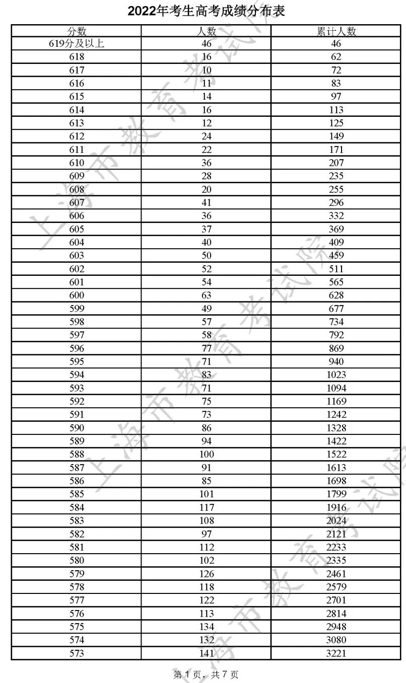
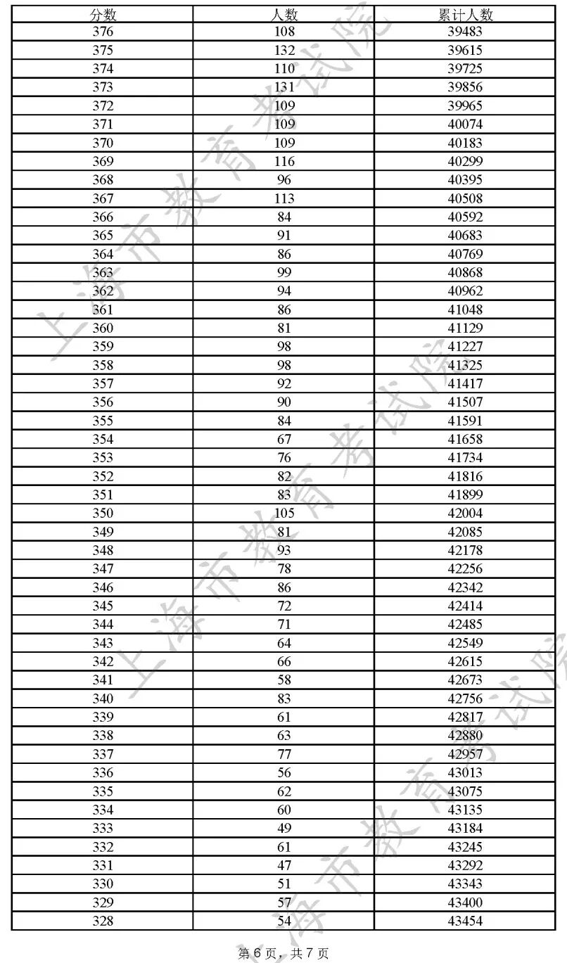
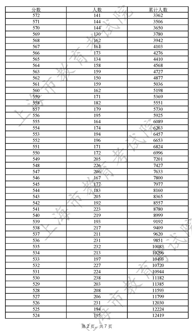
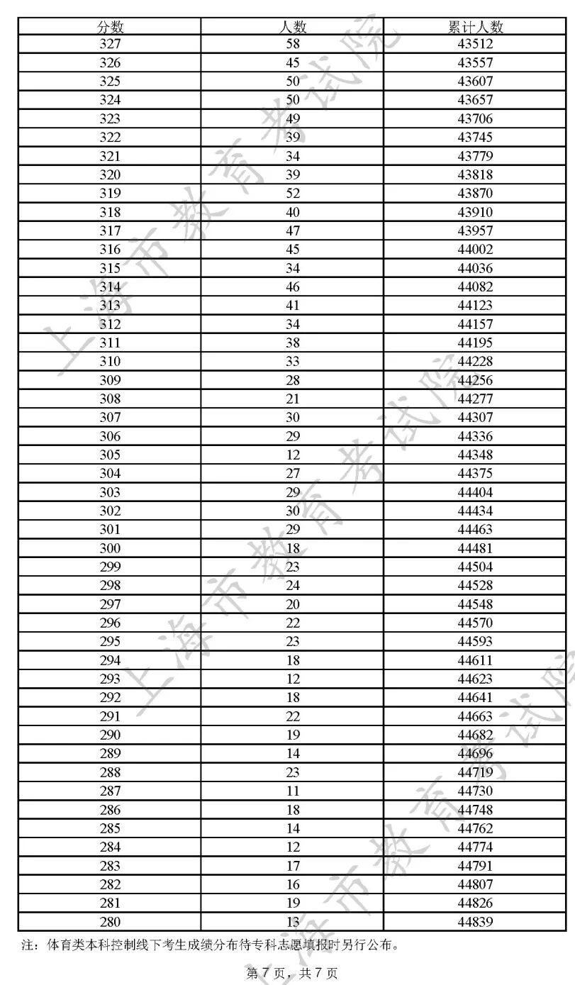
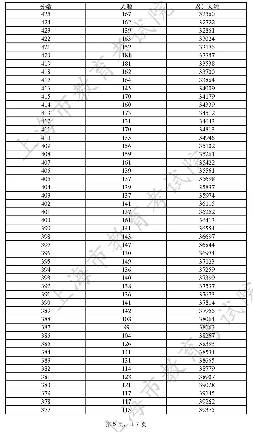
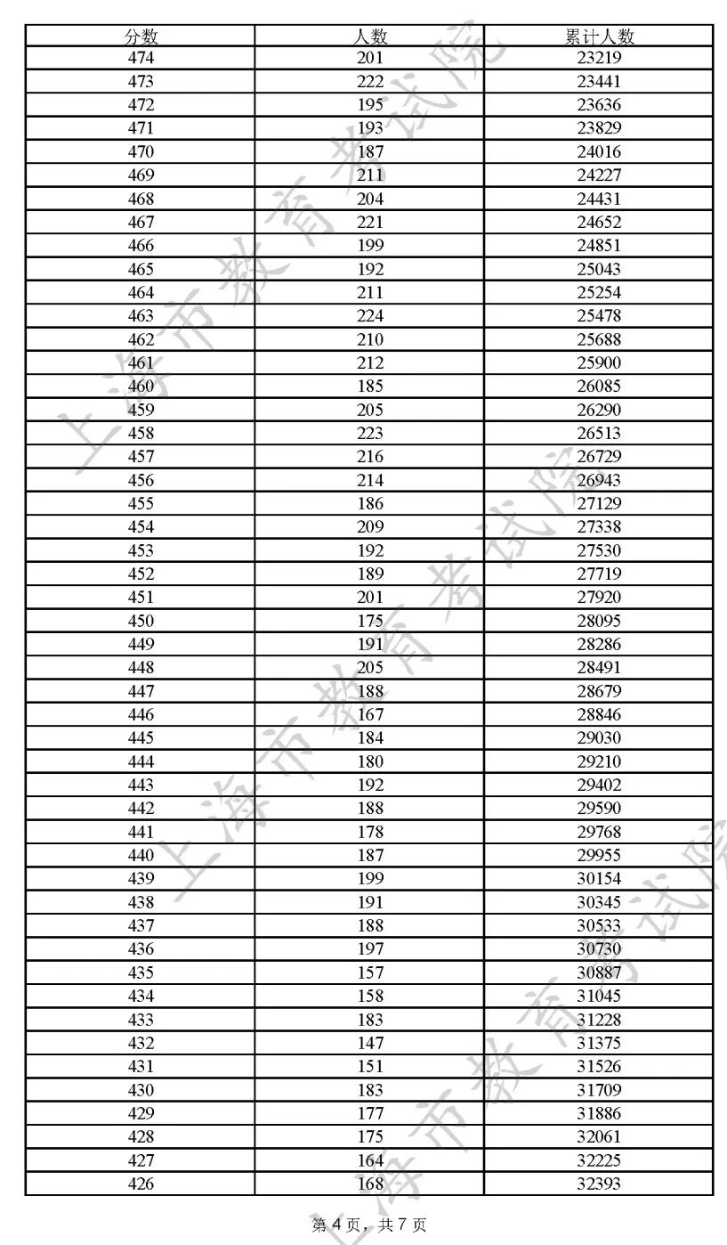
// 为便于考生考后填报志愿,现公布如下成绩分布信息,供参考↓ 高考划线出来了 接下来就等8月6日中考划线吧!! 文章来源:上海市教育考试院 查分通道:https://www.shmeea.edu.cn/page/24300/20220723/16586.html









2022年上海市普通高等学校秋季招生本科各批次录取控制分数线经审定公布如下:
(注:本市高考本科成绩满分为660分)
// 为便于考生考后填报志愿,现公布如下成绩分布信息,供参考↓ 高考划线出来了 接下来就等8月6日中考划线吧!! 文章来源:上海市教育考试院 查分通道:https://www.shmeea.edu.cn/page/24300/20220723/16586.html









链接复制成功
链接复制成功



评论