天津中考体育马上开考,这几点你应注意……
随着中考倒计时的一天天临近,慢慢的考试开始拉开序幕了,体育马上就要考了,同学们你们准备好了吗?
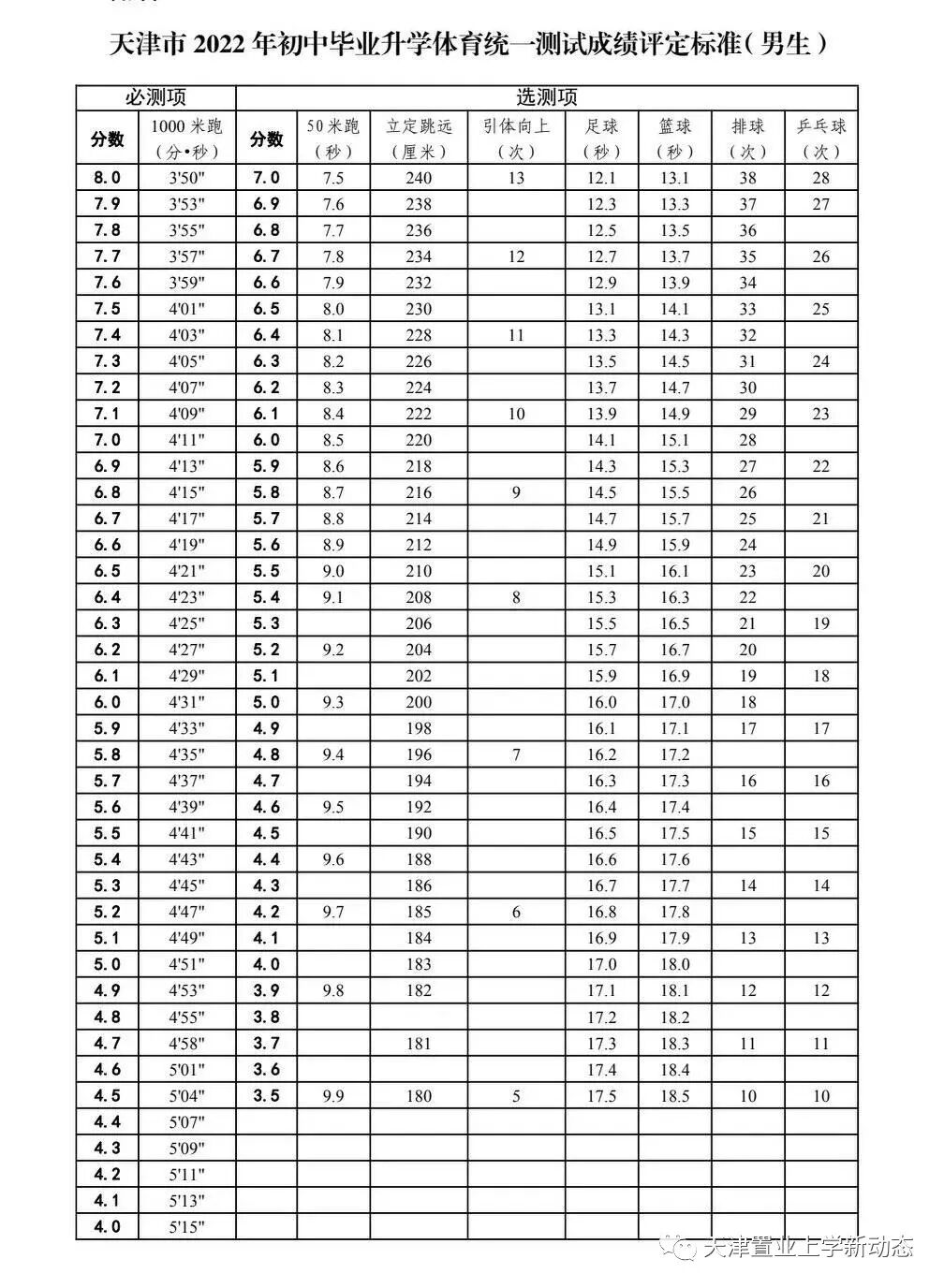
中考体育共40分,分两部分,一部分平时成绩总分18分,另一部分是体育统一测试成绩总分22分。平时成绩由体育课考评,应该老师不会太为难孩子,基本上都是满分。而家长们最担心的就是体育统一测试成绩。
体育统一测试是靠仪器测试,所以孩子们要对规则及仪器有所了解。下面是体育测试的的评分标准。


那考试中应该注意点什么呢?我们孩子去年参加的中考,一点经验分享给大家。我家孩子选得是50米和乒乓球。我们班好多孩子都选的这两项,所以分了好多组。
首先,考试当天孩子要准备好充足的体力,最好带上点红牛,巧克力之类的提神饮料。鞋子和衣服要穿的舒适,吃饭要健康营养,不要吃太饱,也不要喝太多水
其次,考试时要认真听好老师的安排,谨记自己分的组别,如果搞错,会影响心情的。老师在介绍规则时认真听,记好要领,因是室外考试,突发性事情可能有,孩子们一定听从指挥。
最后,提醒孩子,有50米测试的,对跑步时的状态要掌握好,计时器都有反应时间,计时、结束都需要一点时间,所以要想拿满分的同学,一点要把这点考虑进去。
预祝所有的孩子都考出好成绩!
▍来源:网络。本网站尊重原创,好的内容值得分享,如有侵权请联系删除。本文图片均来自网络



评论